Nach einem kurzen Anstieg im Januar scheint der PV-Zubau wieder der negativen Marktentwicklung der letzten acht Monate zu folgen. Für den Februar 2024 wurden aktuell im Marktstammdatenregister 51.000 neue PV-Anlagen mit einer Leistung von 1.072,8 MWp registriert – 57 % davon aus Freiflächenanlagen. Insgesamt bestätigt sich der Abwärtstrend über alle Anlagensegmente hinweg, der seit Mitte 2023 für Unruhe bei Handel und Fachhandwerk sorgt.
Für einen Februar erscheint das veröffentlichte Ergebnis auf den ersten Blick durchaus „stabil“: Es übersteigt den Zubau aus allen vorangegangenen Jahren und liegt über dem Spitzenwert von 912 MWp von Februar 2023. Bei den Anlagensegmenten kleiner 1MWp ist liegt der Zubau allerdings deutlich unter dem Vorjahresmonat. Das wirkt sich vielerorts bereits negativ auf die Auslastung regionaler Handwerksbetriebe aus, die angesichts der Ausbauziele der Bundesregierung z.T. stark investiert haben.
Gewerbeanlagen seit Jahren rückläufig
Betrachtet man außerdem die Entwicklung seit dem Sommer 2023 (siehe Grafik), sinken die Zubauzahlen insgesamt deutlich – und das über alle Anlagenklassen hinweg. Leicht positiv ist der Trend nur bei Freiflächenanlagen, bei gewerblichen Anlagen ab 100kWp ist der Zubau dagegen seit Jahren rückläufig. Weil hier eigentlich das größte Potential für eine schnelle Energiewende schlummert, sollten die staatlichen Rahmenbedingungen dringend angepasst werden. Der Abbau von administrativen Hürden ist lange überfällig und Sonderabschreibungsmöglichkeiten könnten hier einen wahren Boom auslösen.
Der kurze Peak im Januar könnte auf Nachmeldungen zurückzuführen sein. Vielleicht sollte so das volle „21. Jahr der EEG-Vergütung“ oder die höhere Vergütung vor der anstehenden Absenkung genutzt werden.
Das Februar-Ergebnis im Detail
Den Netto-Zubau, der Leistungsänderungen und den Rückbau ausgeförderter Anlagen im Auswertungszeitraum berücksichtigt, beziffert die Bundesnetzagentur auf 1,071,3 GWp. Zu beobachten ist an dieser Stelle auch wieder der Versatz bei den Zubauzahlen. Wie bereits aus den vorangegangenen Monaten bekannt, wurden die Ergebnisse der Vormonate (z. T. deutlich) angepasst. Für den Januar-Wert beträgt die Korrektur beispielsweise 175 MWp.
Im Februar standen die Anlagen mit einer Größe über 1 MWp für knapp 57 % der gemeldeten Leistung (insgesamt 611 MWp). Ein Drittel – d. h. 366 MWp – entfiel auf das Segment der Kleinanlagen bis 30 kWp Leistung. Wenig Relevanz für den Zubau hatten in diesem Monat (erneut) die Anlagen zwischen 30 kWp und 1 MWp, die zusammen nur gut 96 MWp auf sich vereinen konnten.
PV-Nachfrage passt nicht zum Ausbauziel
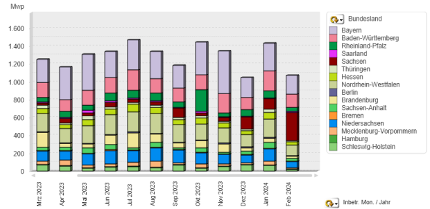
Interessant ist in diesem Monat auch ein Blick auf die Verteilung nach Bundesländern, wobei der Norden besonders stark zurückgefallen ist. Außergewöhnlich hoch ist der Anteil von Sachsen am Gesamtzubau (in der Grafik dunkelrot markiert), der im Februar über 314 MWp beträgt. Diese stammt nach unseren Auswertungen aus der Anmeldung größerer Freiflächenanlagen.
Insgesamt sind in Deutschland in diesem Jahr 2,494 GWp zugebaut worden, im Vergleich zum Rekordjahr 2023 bedeutet dies zwar ein leichtes Plus von 110 MWp. In Relation zum Ausbauziel liegt die Nachfrage derzeit allerdings deutlich hinter den Erwartungen.
Weitere Auswertungen sowie Details zur Einspeisevergütung finden Interessierte unter dem nachfolgenden Link.
























